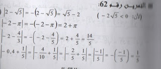
حل التمرين 62 ص 46 لمادة الرياضيات للسنة 1 ثانوي
حل التمرين 62 ص 46 لمادة الرياضيات للسنة 1 ثانوي
Solve-exercise-62-page-46-Mathematics-1-secondary
![]() |
حل التمرين 62 ص 46 لمادة الرياضيات للسنة 1 ثانوي
|
حل التمرين 62 ص 46 لمادة الرياضيات للسنة 1 ثانوي
حل التمرين 62 ص 46 لمادة الرياضيات للسنة 1 ثانوي
Solve-exercise-62-page-46-Mathematics-1-secondary
تعليقات

